#B2168. 哈夫曼编码

哈夫曼编码

Description

给定 nn 个不同的单词及其出现的频次,请你构造一种哈夫曼编码(Huffman Coding)方案。

哈夫曼编码是一种可变长前缀编码,它通过构建哈夫曼树来实现,使得所有单词的编码长度与其频次的乘积之和(即带权路径长度,WPL)最小。在哈夫曼树中,左分支通常代表 00,右分支通常代表 11

由于构建哈夫曼树时,对于权值相同的节点合并顺序不同,以及左右子树的分配不同,可能会产生多种满足条件的编码方案。本题只需输出任意一种合法的哈夫曼编码方案即可。输出的单词顺序应与输入顺序保持一致。

Input Format

第一行包含一个正整数 nn,表示单词的个数。

接下来 nn 行,每行包含一个由小写英文字母组成的非空字符串 sis_i 和一个正整数 wiw_i,分别表示第 ii 个单词及其出现的频次。

Output Format

输出共 nn 行。

每行输出一个字符串和一个 0101 字符串,中间以一个空格隔开,分别表示单词 sis_i 及其对应的哈夫曼编码。

输出的单词顺序应与输入顺序保持一致。

4
a 1
b 2
c 3
d 4
a 110
b 111
c 10
d 0
6
algorithm 10
complexity 5
structure 2
optimization 23
graph 7
tree 15
algorithm 00
complexity 0111
structure 0110
optimization 11
graph 010
tree 10

Hint

样例 1 解释

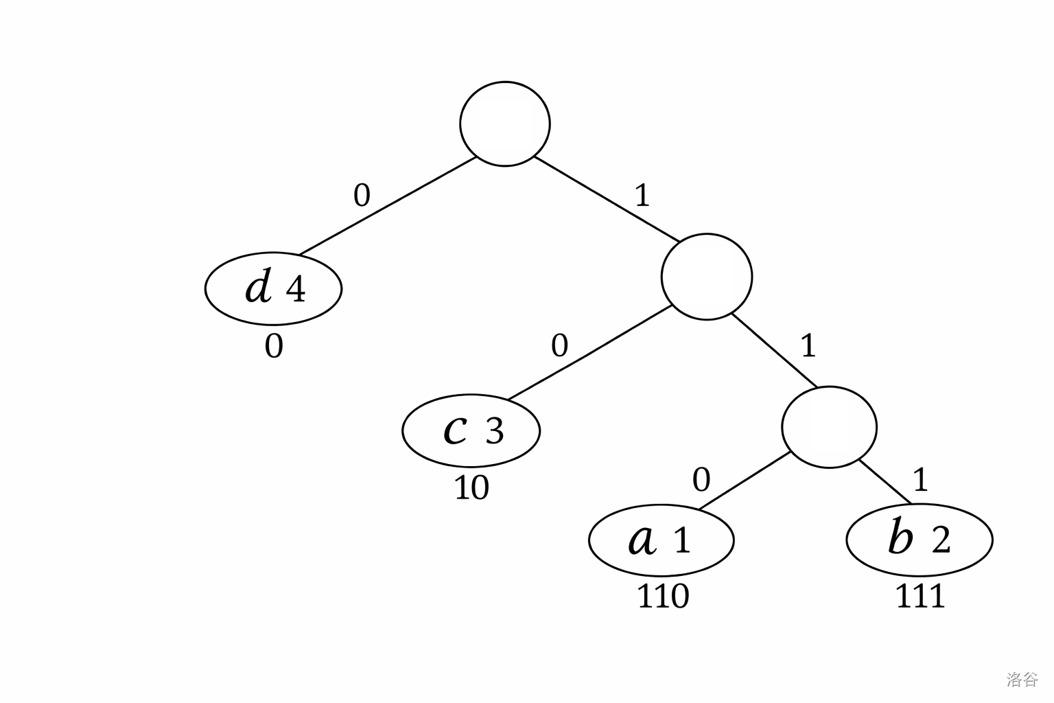
对于第一组数据,一种构建过程如下:

  1. 取出频次最小的 a\tt a11)和 b\tt b22),合并为一个新节点,权值为 1+2=31+2=3
  2. 当前权值集合为 {3,3,4}\{3, 3, 4\}(其中第一个 33 为新节点,第二个 33c\tt c)。
  3. 取出最小的 c\tt c33)和新节点(33),合并为一个新节点,权值为 3+3=63+3=6
  4. 当前权值集合为 {4,6}\{4, 6\}
  5. 取出 d\tt d44)和新节点(66),合并为根节点,权值为 4+6=104+6=10

假设每次合并时,权值较小的节点作为左子树(标记为 00),权值较大的节点作为右子树(标记为 11);若权值相同,则任意分配。 对于上述构建的一种可能树结构:

  • d\tt d 位于根节点的左侧(编码 00)。
  • c\tt c 位于根节点 \to 右节点 \to 左节点(编码 1010)。
  • a\tt a 位于根节点 \to 右节点 \to 右节点 \to 左节点(编码 110110)。
  • b\tt b 位于根节点 \to 右节点 \to 右节点 \to 右节点(编码 111111)。

带权路径长度 $\text{WPL} = 4 \times 1 + 3 \times 2 + 1 \times 3 + 2 \times 3 = 19$,这是理论最小值。其他满足 WPL 最小的编码方案也被视为正确答案。

:::align{center} :::

数据范围

对于 100%100\% 的数据,满足 1n10001 \le n \le 1000,字符串 sis_i 的长度不超过 2020,且 1wi1091 \le w_i \le 10^9。保证所有字符串 sis_i 互不相同。